
本品主要成份为枸橼酸莫沙必利
化学名称为:
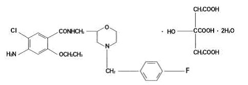
4-氨基-5-氯-2-乙氧基-N-{[4-(4- 氟苄基)-2-吗啉基]甲基}苯甲酰胺枸橼酸盐二水合物。。。。。。
化学结构式: 
分子式: C21H25ClFN303 .C6H807.2H20
分子量: 650.05
本品为消化道促动力剂,,,,,,,主要用于功效性消化不良、慢性胃炎伴有烧心、嗳气、恶心、吐逆、早饱、上腹胀、上腹痛等消化道症状者。。。。。。
5mg。。。。。。
口服,,,,,,,一次5mg(一片),,,,,,,一日三次,,,,,,,饭前或饭后服用,,,,,,,或遵医嘱。。。。。。
主要体现为腹泻、腹痛、口干、皮疹及疲倦、头晕等。。。。。。偶见嗜酸性粒细胞增多、甘油三酯升高及丙氨酸氨基转移酶(ALT)、天门冬氨酸氨基转移酶(AST)、碱性磷酸酶(AKP)、γ-谷氨酰转肽酶(GGT)升高。。。。。。